General Physics (calculus based) Class Notes

Dr. Rakesh Kapoor, M.Sc., Ph.D.

Former Faculty-University of Alabama at Birmingham, Birmingham, AL 35294


Oscillations

Objectives

In this chapter we will learn about oscillations. After finishing this chapter we should know following topics:

What is a Simple Harmonic Motion (SHM)

Various terms used in SHM, like frequency, angular frequency, phase and time period

How velocity of an object performing simple harmonic motion is related to its displacement?

In simple harmonic motion, what is the relation between acceleration and displacement

What kinds of forces cause simple harmonic motion?

Linear Simple harmonic motion of a spring block system

How to measure spring constant of a spring

Energy of a simple harmonic oscillator

Angular simple harmonic motion

Angular speed of an angular simple harmonic oscillator

How to measure rotational inertia of a complicated shaped object

Simple pendulum and Physical pendulum

Damped harmonic oscillator

Forced oscillations/Resonance

What is Harmonic Motion?

Any motion that repeats itself at regular intervals is called periodic motion or harmonic motion.

Frequency:

Frequency is number of oscillations completed in one second. The symbol for frequency is f.

Units of Frequency :

SI unit of frequency Oscillations_2.gif and it is also called hertz (Hz).

Oscillations_3.gif

Period (T):

Time period or period is the an oscillator takes to complete one cycle or one oscillation. Symbol for period is T. Frequency is related to T as

Oscillations_4.gif

What will be SI units of Time period T?

Checkpoint-1: (Harmonic Motion)

A spring block system completes 25 oscillations in 10 s.
(a) What is its frequency f ?
(b) What is its period T ?

What is Simple Harmonic Motion?

Consider a rotating object with uniform angular velocity (frequency) ω.

Now watch the motion of its shadow on x-axis (Select shadow).

Motion of the projected image or shadow of a uniformly rotating object on xz-plane or yz-axis is called simple harmonic motion (SHM).

We (select show components) can see that at any instant of time, position Oscillations_6.gif of shadow is the x-component of the position vector Oscillations_7.gif of rotating object.

Oscillations_8.gif

For the rotating object angular displacement θ(t) at any time t is

Oscillations_9.gif

Where φ is starting angle at t = 0. By plugging the value of θ(t) we can write position vector components Oscillations_10.gif as a function of time.

Oscillations_11.gif

Any moving object whose displacement is represented by above function is said to be in simple harmonic motion (SHM).

Terms used in SHM

SHM is a sinusoidal function.

Displacement vs. Time plot of a simple harmonic motion is shown below.

Convention is to take cosine function to represent of SHM.

Oscillations_13.gif

Phase is always measured in radians.

Different constant in phase term (ω t +φ) as follow

ω is angular frequency.

φ is initial phase or phase constant.

Angular frequency & Time Period

Definition of time period T is that it is the time an oscillator takes to complete one oscillation

Therefore after time T the displacement x(t) of the oscillator must return to its initial value.

Oscillations_14.gif

Mathematically we can say displacement x(t) at time t, must be equal to displacement x(t+T) at time t+T.

Oscillations_15.gif

This is only possible if

Oscillations_16.gif

Oscillations_17.gif

Checkpoint-2: SHM

An object undergoing simple harmonic motion at time t = 0 is at position Oscillations_18.gif Oscillations_19.gif is its amplitude) from its origin, (a) what is its initial phase φ?
If T is the time period, what will be the position of this object at  
(b)  t= 2.50T, (c) t= 3.00T, and (d) t= 5.25T

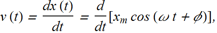
The Velocity of SHM

How to compute instantaneous velocity of an object in simple harmonic motion?

The velocity of a particle moving with simple harmonic motion can be obtained from derivative of its displacement.

Oscillations_20.gif

Oscillations_21.gif

Oscillations_22.gif is the maximum velocity magnitude and is called velocity amplitude.

The velocity of the particle varies between the limits Oscillations_23.gif.

Oscillations_24.gif

The Acceleration of SHM

Once we know the velocity v(t) for a simple harmonic motion, we can find acceleration of the oscillating particle by again differentiating with time.

Oscillations_25.gif

Oscillations_26.gif

Oscillations_27.gif is maximum magnitude of acceleration and is called the acceleration amplitude.

The acceleration of the particle varies between the limits Oscillations_28.gif.

Oscillations_29.gif

In the expression for acceleration, term Oscillations_30.gif is the expression for displacement x(t) of the oscillating object.

Therefore, we can combine the expression for acceleration with that of displacement as:

Oscillations_31.gif

This is the hallmark of simple harmonic motion:

Acceleration of any object in SHM, is always proportional to its displacement with opposite sign. Proportionality constant is equal to square of its angular frequency.

Checkpoint-3: SHM

Following are the relationships between the acceleration a of a particle and the particle’s position x. Which of these particles are performing simple harmonic oscillation?
(1) Oscillations_32.gif, (2) a = -4 x , (3) Oscillations_33.gif , (4) a = 10 x
What are the angular frequencies of the particles performing SHM?

Problem 1(SHM):

The position of a particle in simple harmonic motion is given as  x(t)=10.0 cos(20.0t+2.00)

What is its velocity amplitude?

Oscillations_34.gif

Oscillations_35.gif

What is the amplitude of its acceleration?

Oscillations_36.gif

What is its frequency f and time period T?

Oscillations_37.gif

What is its phase at t = 0?

What kind of force can cause Simple Harmonic Motion?

Now we know

Acceleration of an object performing SHM, is always proportional to its displacement with a negative sign.

Oscillations_38.gif

According to Newton’s second law the acceleration a of an object is related to the net applied force F on the object.

Oscillations_39.gif

This means applied force capable of producing SHM, should be proportional to the displacement but opposite in sign.

Oscillations_40.gif

The proportionality constant k is related to the angular frequency ω.

Oscillations_41.gif

Any force acting on a particle that is proportional to the displacement of the particle with negative sign, will cause the particle to perform simple harmonic motion.

Checkpoint-4: SHM

Following are some forces related to the displacement x of a particle. Which of the forces will make the particle to perform SHM?
(a)Oscillations_42.gif , (b) F = 10 x , (c) Oscillations_43.gif , (d) F = -10 x?

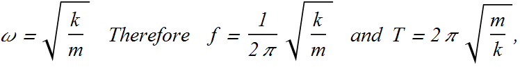
Linear Simple Harmonic Oscillator

We know now that when an object experience a force that is proportional to the displacement of the object but opposite in sign, the object will undergo simple harmonic motion. In mathematical notation we can say

Oscillations_44.gif

This relation is similar to Hook's law for a spring. That means the  block spring system which follows this law, should form a linear simple harmonic oscillator.

As we have seen that the proportionality constant k is related to the angular frequency of the simple harmonic oscillator

Oscillations_46.gif

The angular frequency and period for such a system can be given as

Oscillations_47.gif

Can you answer?

If you are given a spring of unknown spring constant, can you suggest a method to measure its spring constant?

We have seen frequency and time period of a spring block system is given as

Oscillations_48.gif

We can always measure frequency f or time period T of an oscillating object.

Once we know T and mass of the block, we can always compute spring constant k of the spring.

Quiz- 1
A block of mass m is suspended by a vertically oriented spring.  If the mass of a block is doubled to 2m, how does the frequency of oscillation change, if at all?

The frequency would double.

The frequency would be reduced to one-half its initial value.

The frequency would be reduced by a factor of (1/√2).

The frequency would increase by a factor of 2.

The frequency would be unchanged.

Energy in SHM

Potential energy of a system similar to a spring and mass system is given as.

Oscillations_58.gif

The kinetic energy is associated with its velocity.

Oscillations_59.gif

Since Oscillations_60.gif we can write K (t) as

Oscillations_61.gif

Variation of energy of a SHO with position from equilibrium

Oscillations_62.gif

Now total energy of the system is

Oscillations_63.gif

Oscillations_64.gif

since

Oscillations_65.gif

Oscillations_66.gif

Variation of Energy of a SHO with time

Problem 3(Energy of a SHM):

An oscillating block–spring system has a mechanical energy of 1.00 J, an amplitude of 10.0 cm, and a maximum speed of 1.20 m/s.

Find the spring constant k.

Find the mass of the block.

Find the frequency of oscillation.

Angular Simple Harmonic Oscillator

Angular Simple harmonic motion is the motion executed by an object subject to a torque that is proportional to the angular displacement of the particle but opposite in sign.

Oscillations_67.gif

Here κ (Kappa) is a constant, called the torsion constant.

Oscillations_69.gif

Oscillations_70.gif

ω is not the angular speed here, it is angular frequency of the oscillator.

Oscillations_71.gif

Oscillations_72.gif

Oscillations_73.gif

Quiz- 2
Consider three different torsion pendulums, each of mass m, consisting of a solid disk suspended from the middle of one flat side, a hollow sphere, and a rod suspended from the middle.  The diameter of the disk and sphere are both the same as the length of the rod.  The wires they are suspended from are identical.  Which torsion pendulum will twist back and forth the fastest?

the disk

the rod

the sphere

The disk and the rod will oscillate with the same frequency.

Oscillations_74.gif

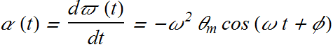
What will be angular speed of an Angular Simple Harmonic Oscillator?

For an angular simple harmonic oscillator, angular displacement θ at any time is given as

Oscillations_75.gif

Now the angular speed ϖ (Greek v)at any instant of time will be given as.

Oscillations_76.gif

Similarly angular acceleration of an angular harmonic oscillator is given as.

Oscillations_77.gif

The angular speed ϖ and angular frequency ω are two different quantities.

Can you answer?

If you are given an odd shaped object, can you suggest a method to measure its rotational Inertia?

Problem 4(Angular SHM):

An odd shaped object of mass 95 kg is suspended by a vertical wire. A torque of 0.20 N·m is required to rotate the sphere through an angle of 0.85 rad and then maintain that orientation. When the object is released its period of oscillation T = 12 s.

What is the rotational inertia of the odd shaped object?

If the system can perform angular simple harmonic motion, the torque is related to angular displacement by following relation

Oscillations_79.gif

The Simple Pendulum

Simple pendulum also performs SHM, let us see how?

Displace the pendulum from its equilibrium position by an angle θ.

Two forces are acting on a simple pendulum, Force Oscillations_81.gif due to gravity and force of tension T.

Oscillations_82.gif

Total torque acting on a simple pendulum torque will be given as.

Oscillations_83.gif

For a small value of angle θ

Oscillations_84.gif

Oscillations_85.gif

We can see torque τ acting on the object is proportional to angular displacement θ with negative sign, therefore this torque will produce simple harmonic motion.

If I is rotational inertia and α is its angular acceleration

Oscillations_86.gif

Oscillations_87.gif

Oscillations_88.gif

For simple pendulum Oscillations_89.gif, therefore the angular frequency of such a pendulum is

Oscillations_90.gif

Oscillations_91.gif

Oscillations_92.gif

Frequency of  simple pendulum is independent of its mass but changes with its length.

Let us watch how frequency of the pendulum changes if we change length of the cord or if we change mass of the ball?

Quiz- 3
If the mass of a simple pendulum is doubled, how does the frequency of oscillation change, if at all?

The frequency would double.

The frequency would be reduced to one-half its initial value.

The frequency would be reduced by a factor of  (Oscillations_94.gif).

The frequency would increase by a factor of Oscillations_95.gif.

The frequency would be unchanged.

What is a Physical Pendulum

When a rigid body is pivoted at any point away from its center of mass, it becomes a physical pendulum.

Examples: A Baseballs bat hanging from its handle or a hoop hanging on its rim.

A real pendulum, usually called a physical pendulum, can have a complicated distribution of mass.

Angular frequency of Physical Pendulum

Consider a physical pendulum, tilted by an angle θ from its equilibrium position.

Oscillations_98.gif

Total torque acting on the physical pendulum is due to force Oscillations_99.gif and is given as.

Oscillations_100.gif

For a small value of angle θ

Oscillations_101.gif

Oscillations_102.gif

If I is rotational inertia and α is its angular acceleration

Oscillations_103.gif

Oscillations_104.gif

Oscillations_105.gif

The angular frequency of such a pendulum is

Oscillations_106.gif

Oscillations_107.gif

Oscillations_108.gif

Quiz- 4
A grandfather clock, which uses a pendulum to keep accurate time, is adjusted at sea level.  The clock is then taken to an altitude of several kilometers.  How will the clock behave in its new location?

The clock will run slow.

The clock will run fast.

The clock will run the same as it did at sea level.

The clock cannot run at such high altitudes.

Checkpoint-5: Physical pendulum

Three physical pendulums, of masses Oscillations_109.gif, Oscillations_110.gif, and Oscillations_111.gif, have the same shape and size and are suspended at the same point.
Rank the masses according to the periods of the pendulums, greatest first.

Damped Simple Harmonic Motion

Up till now we have considered the ideal conditions where no resistance (like friction or drag force) was present to the SHM.

In real life any object in simple harmonic motion will experience resistance due to force of friction or drag force from the medium (air or water etc.).

When the motion of an oscillator is reduced by an external force, the oscillator and its motion are said to be damped.

When the damped force Oscillations_113.gif is a drag force  from water, air or any fluid, it is proportional to the velocity of the object.

Oscillations_114.gif

If we consider a system as shown in figure, the net force Oscillations_116.gif acting on the block will be

Oscillations_117.gif

This should be equal to the acceleration of the block

Oscillations_118.gif

I about any other axis is given as

Oscillations_119.gif

The solution of this differential equation is

Oscillations_120.gif

Oscillations_121.gif

With angular frequency

Oscillations_122.gif

Checkpoint-6: Damped Oscillations

Here are three sets of values for the spring constant, damping constant, and mass for the damped oscillator of the above figure.
Rank the sets according to the time required for the mechanical energy to decrease to one-fourth of its initial value, greatest first.

Set 1 Oscillations_124.gif Oscillations_125.gif Oscillations_126.gif
Set 2 Oscillations_127.gif Oscillations_128.gif Oscillations_129.gif
Set 3 Oscillations_130.gif Oscillations_131.gif Oscillations_132.gif

Key Idea : Energy stored in the spring oscillating spring block system is

Oscillations_133.gif

It means when amplitude Oscillations_134.gif becomes half, energy reduces to one fourth.

If t is the time it takes to reduce the amplitude to one half of its original value

Oscillations_135.gif

Oscillations_136.gif

Oscillations_137.gif

Oscillations_138.gif

t is independent of k

Forced Oscillations and Resonance

When we apply a one-time push or force to a pendulum and let it oscillate, the pendulum will oscillate with its natural angular frequency ω.

If we apply a continuously oscillating force Oscillations_139.gif (simple harmonic force) of angular frequency Oscillations_140.gif, the pendulum will oscillate with angular frequency Oscillations_141.gif .

Oscillations_142.gif

The amplitude Oscillations_143.gif of such force oscillation will depend upon how much positive work the applied force can do on the pendulum.

Work done by any force is given by

Oscillations_144.gif

Work done will be maximum, if the force Oscillations_145.gif and displacement x are always in same direction.

That is only possible if the applied force is oscillating in phase with the natural oscillation of the pendulum.

In other words when Oscillations_146.gif. Such a condition is called resonance.

Oscillations_147.gif