General Physics (calculus based) Class Notes

Dr. Rakesh Kapoor, M.Sc., Ph.D.

Former Faculty-University of Alabama at Birmingham, Birmingham, AL 35294


Potential Energy

Objectives

In this chapter we will learn the following concepts:

Conservative and non-conservative forces.

Multi-particle energy has three parts:

Rest energy

Kinetic Energy

Potential energy

Potential energy is the interaction energy of pairs of particles with in a multi-particle system.

Learn to compute potential energy.

Relation between Kinetic and Potential energy of an isolated multi-particle system.

Gravitational potential energy

Potential energy of a spring and block system

Potential energy curve.

Relation between interaction (force) and potential energy.

Equilibrium points

Conservative Force

Gravitational Force:

Throw (click play) a ball up with initial velocity PotentialEnergy_1.gif and watch its kinetic energy in energy meter (red bar).

What happens to the kinetic energy of disk, when it goes up and when it comes back to its original position?

Spring Force:

Consider a block attached to a spring on a friction less surface.

Push the block (click play) towards left with initial velocity PotentialEnergy_3.gif and watch its kinetic energy in energy meter (red bar).

When the block moves away from its zero position the spring force takes away its kinetic energy ( it does negative work PotentialEnergy_5.gif on the block).

Work done by a Conservative Force is Path Independent

In the ball-earth or spring-block examples we have seen that PotentialEnergy_6.gif.

In that case the net work PotentialEnergy_7.gif done by gravitational force (spring force) on ball (block) in a round trip will be zero

PotentialEnergy_8.gif

The net work done by a conservative force on a particle moving around any closed path is zero.

An important result from above statement is

The work done by a conservative force on a particle moving between two points does not depend on the path taken by the particle.

Suppose a particle moves from point a to point b along either path 1 or path 2.

PotentialEnergy_9.gif

If only a conservative force acts on the particle, then the work done on the particle is the same along the two paths.

PotentialEnergy_10.gif

Checkpoint-1: Conservative force

The figure shows three paths connecting points a and b. A single force PotentialEnergy_11.gif does the indicated work on a particle moving along each path in the indicated direction. On the basis of this information, is force PotentialEnergy_12.gif conservative?

PotentialEnergy_13.gif

Example 1: Path Independence

A 60 kg skier starts from rest at height H=20 m above the end of a ski-jump ramp and leaves the ramp. Neglect the effects of air resistance and assume the ramp is frictionless.
How much work is done by the gravitational force from start to the end of ramp?

PotentialEnergy_14.gif

Key Idea: Work done by gravitational force (conservative force) is path independent.
Therefore work done in moving from start to end point through path-1 should be equal to work done from start to end point through path-2  

Non conservative force

Consider a block attached to a spring on a surface with friction.

Push the block (click play) towards left with initial velocity PotentialEnergy_15.gif and watch its kinetic energy in energy meter (red bar).

How the kinetic energy changes with each round trip?

Single particle and Energy Principle

Consider a bouncing ball (single particle system) with Earth as the only surrounding.

Now throw the ball (click play).

The bouncing ball (system) moves under the influence of surrounding or external force (gravitational force)  PotentialEnergy_18.gif.

As per energy principle "change in kinetic energy ΔK of a single particle system (ball) is equal to work PotentialEnergy_19.gif done by net surrounding or external force".

PotentialEnergy_20.gif

Will this method work if we treat it as a multi-particle (ball + earth) system?

Multi-particle system

A multi-particle system comprises of at least two or more particles.

Now let us imagine that bouncing ball + earth is the system (enclosed in dashed blue line).

It is a simple two particle system.

No surrounding or external force is acting on the system PotentialEnergy_22.gif, therefore

PotentialEnergy_23.gif

Now throw the ball.

The ball moves under the influence of gravitational force, which is now the internal force of the system PotentialEnergy_24.gif.

Certainly kinetic energy of the ball still changes (ΔK0) under the influence of gravitational force.

However, there is a problem: The surrounding did no work on the system PotentialEnergy_25.gif but ΔK≠0!

Potential Energy

Has Energy Principle been violated?

Answer to the question is a certain NO.

It only means that we have overlooked a kind of energy that is present in multi-particle systems.

This energy is associated with each pair of interacting particles inside the system.

This interacting energy of each pair is called "potential energy". Symbol U is used for potential energy.

Energy principle for a multi-particle system

Energy principle is same for a multi-particle system as it is for a single particle system.

Change in total energy of a system PotentialEnergy_26.gif is equal to the work done by surrounding PotentialEnergy_27.gif (or external forces).

PotentialEnergy_28.gif

PotentialEnergy_29.gif

Total energy PotentialEnergy_30.gif of a multi-particle (two or more particles) system is the sum of three parts.

Sum of rest energies of each particle.

Sum of kinetic energies of each particle.

Sum of potential energies of each pair of particles.

PotentialEnergy_31.gif

Sum of kinetic energy and potential energy of a system is also called it mechanical energy PotentialEnergy_32.gif.

PotentialEnergy_33.gif

PotentialEnergy_34.gif

Change in total energy PotentialEnergy_35.gif of a multi-particle system contains three parts.

PotentialEnergy_36.gif

Here Δu is the change in rest energy of the system (It will be zero as long as mass of each particle is not changing).

If mass of the system is constant or Δu=0.

PotentialEnergy_37.gif

Relation between ΔK and ΔU of an isolated multi-particle system

For an isolated multi-particle system, no work is done by surrounding PotentialEnergy_38.gif, therefore PotentialEnergy_39.gif is zero.

PotentialEnergy_40.gif

For such a system

PotentialEnergy_41.gif

Note: This is only true if rest energy or mass of the system is constant.

How to compute change in potential energy ΔU?

In multi-particle system, the change in potential energy of each pair (ΔU) is equal to the negative of the work PotentialEnergy_42.gif done by internal force acting between the pair.

PotentialEnergy_43.gif

In bouncing ball-earth system, PotentialEnergy_44.gif is the work done by gravitational force (internal force) acting between the ball and earth.

When the ball is raised to height h, the work PotentialEnergy_45.gif done by -mg force will be

PotentialEnergy_46.gif

PotentialEnergy_47.gif

If PotentialEnergy_48.gif is the initial potential energy on the ground surface and U is potential energy at height h, then

PotentialEnergy_49.gif

If we assume that initial potential energy of an object on the ground surface PotentialEnergy_50.gif, then its potential energy at height h is

PotentialEnergy_51.gif

Example 2: Ball and Earth

A ball of mass 100 g is 2 m above the ground, headed upward at a speed of 15 m/s. The ball comes to a momentary stop at height of 5.27 m above the ground. Consider the ball + Earth as the system. (a) What is the change in potential energy of the system? (b) What is the change in kinetic energy of the system?

Solution:

Properties of Potential Energy

Potential energy depends on the separation between pairs of interacting particles, not on their individual positions.

Potential energy must approach zero as the separation between pairs of interacting particles becomes very large.

PotentialEnergy_52.gif

If an interaction is attractive (gravitation force), potential energy becomes negative as the distance between particles decreases.

If an interaction is repulsive (force between like charges), potential energy becomes positive as the distance between particles decreases.

Shape of any object or system depends on separation of different interacting particles of the object. When separation between interacting pairs change, shape of the object change.

Therefore we can say that when shape of a system changes, its potential energy changes. /p>

NNo potential energy exists between non interacting/span> pairs of particles.

Potential Energy in a Block - Spring System

CConsider a block-spring system. (Click, hold and drag the block to push or pull it from equilibrium position)

For such a system, spring force span>PotentialEnergy_54.gif is an internal force.

Work PotentialEnergy_55.gif done by this internal force in moving the object from PotentialEnergy_56.gif to PotentialEnergy_57.gif is

PotentialEnergy_58.gif

Change in potential energy of a two particle system is

PotentialEnergy_59.gif

PotentialEnergy_60.gif

The potential energy U(x) of a spring-block system at a separation x from equilibrium position x=0 will be

PotentialEnergy_61.gif

Potential Energy Curve

If we have a potential energy U(x) versus position x curve, we can gather a wealth of information about the motion of a particle.

PotentialEnergy_62.gif

The first parameter that we can determine is the force PotentialEnergy_63.gif using the potential energy versus position curve.

Relation between force and potential energy

For one - dimensional motion, the work PotentialEnergy_64.gif done by an internal conservative force PotentialEnergy_65.gif of a system is

PotentialEnergy_66.gif

Here Δx is the change in separation of two objects.

Now we can relate PotentialEnergy_67.gif to its change in potential energy ΔU

PotentialEnergy_68.gif

The average force PotentialEnergy_69.gif during this displacement can be given as

PotentialEnergy_70.gif

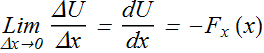
If we take the limit Δx0, the force  PotentialEnergy_71.gif at position x can be given as

PotentialEnergy_72.gif

PotentialEnergy_73.gif

Force at any position is the negative of the slope of potential energy U(x) vs. position x curve.

Consider a U(x)) vs. x/em> curve

PotentialEnergy_74.gif

What is the slope of the curve at x=10m , x=17m, x=23m and x=40m ?

The  slope of UU(x) vs.  x/em>  curve at x=10m , x=17m, x=23m and x=40m is zero, thus PotentialEnergy_75.gif at these positions.

PotentialEnergy_76.gif

Is the slope dU/dx between  x/em>=0 and x=10m and between x=10m and x=17m is positive or negative?

How to predict motion of an object from its U(x) vs. x curve?

You can imagine as if the potential energy U(x) vs. x curve corresponds to a container of same shape.

Release (click play) disk (green) and watch the motion of the disc and its shadow (red disk) on x-axis.

Shape of a roller coaster too is same as shape of its potential energy vs. position curve.

Equilibrium Points

TThe positions where the slope  dU/dx=/span>0 and thus PotentialEnergy_79.gif are called equilibrium points.

Neutral Equilibrium :

A region for which PotentialEnergy_81.gif such as the region x > 35m  is called a region of neutral equilibrium.

If a particle has total mechanical energy PotentialEnergy_82.gif , then its kinetic energy K=0 and the particle will be stationary at any point in this region.

Stable Equilibrium :

Minima in UU(x) vs. x/em> are position of stable equilibrium: Like a particle with PotentialEnergy_83.gif  at position x=10m.

If we displace the particle either to left or right of x=10m the force will bring it back to x=10m.

Unstable Equilibrium :

Maxima in UU(x) vs. x are position of unstable equilibrium: Like a particle with PotentialEnergy_84.gif  at position x=17m.

If we displace the particle either to left or right of x=17m the force will tend to take it further away from x=17m.

Work done by a non-conservative force

Consider a constant horizontal external force PotentialEnergy_85.gifpulling a block along x axis through a displacement PotentialEnergy_86.gif

Block's velocity increases from PotentialEnergy_87.gif to PotentialEnergy_88.gif

During the motion, a constant kinetic frictional force PotentialEnergy_89.gif from the floor acts on the block.

Therefore net force PotentialEnergy_90.gif acting on the block is given as

PotentialEnergy_91.gif

Total work W done by net force PotentialEnergy_93.gif is equal to change in mechanical energy PotentialEnergy_94.gif

In this situation there is no change in potential energy, therefore PotentialEnergy_95.gif

PotentialEnergy_96.gif

Or

PotentialEnergy_97.gif

The work PotentialEnergy_98.gif done by applied force will be

PotentialEnergy_99.gif

Work done by force of friction PotentialEnergy_100.gifchanges thermal energy PotentialEnergy_101.gif of the system (Block and floor gets warmer)

PotentialEnergy_102.gif

Therefore

PotentialEnergy_103.gif

In a more general situation (say, block is moving up a ramp), there can be a change in potential energy. To include such a possible change, we write

PotentialEnergy_104.gif