General Physics (calculus based) Class Notes

Dr. Rakesh Kapoor, M.Sc., Ph.D.

Former Faculty-University of Alabama at Birmingham, Birmingham, AL 35294

Rolling

In this chapter we will learn about different aspects of rolling objects.
After finishing this chapter we should know following topics:

Rolling of circular objects.

Relation between linear velocity of a rolling object and its angular velocity.

Rolling as a combination of pure Translation & Rotation.

Kinetic energy of rolling objects.

Importance of friction in rolling objects.

Computation of linear acceleration of few rolling objects.

Can you answer?

A circular wheel and a rectangular block were let to go down (Click start) from the top (height h) of an incline. Both the objects are of same material and have same mass m. If energy loss due to friction is negligible, which one will arrive first to the ground?

What is rolling?

When an object rolls smoothly (without slipping) along a surface. The center of the object (blue point) moves in a straight line with velocity Rolling_2.gif while a point (red point) on the rim rotates.

Without slipping means the velocity of point of contact with horizontal surface, should always be zero.

What will be Rolling_4.gif (center of mass velocity) of a rolling object?

Roll (Click roll) the wheel of radius R.

Suppose the wheel covers distance s in time t, the magnitude of velocity Rolling_5.gif of the center of mass of the wheel is

Rolling_6.gif

When the roiling wheel rotates by an angle θ the linear distance s covered by the wheel is equal to the distance from point A to B on the wheel rim.

Rolling_8.gif

According to definition of angle θ

Rolling_9.gif

Above equation can be rewritten as

Rolling_10.gif

Since radius of the wheel R is a constant, therefore the magnitude of velocity of the center of mass of the wheel Rolling_11.gif, can be rewritten as

Rolling_12.gif

For a rotating wheel, angular velocity ω is given as

Rolling_13.gif

Therefore velocity of the center of mass of a rolling wheel  Rolling_14.gif, is related to its angular velocity ω.

Rolling_15.gif

Similarly the linear acceleration of the center of mass of a rolling wheel Rolling_16.gif is related to its angular acceleration α.

Rolling_17.gif

The velocity Rolling_18.gif and acceleration Rolling_19.gif of the center of mass of a smoothly rolling wheel, are respectively related to the angular velocity ω and angular acceleration α of the wheel.

What is the velocity of different points of a rolling object?

Look at the photograph of a rolling bicycle wheel.

Rolling_20.gif

What we observe?

The spokes near the wheel's top are more blurred than those near the bottom because the top ones are moving faster.

For smooth rolling (without slipping), point touching the ground should have zero velocity.

Rolling: Combination of pure Translation & Rotation

This complicated velocity pattern of a rolling object can be simplified by treating rolling as a combination of pure translation and pure rotation.

Watch a translating wheel without rotation. (Select Translation and click Play)

We observe that velocity of the wheel at point T, O and P is same.

Rolling_21.gif

Watch now a rotating wheel of radius R and angular velocity ω about a stationary axis O. (Select Rotation and click Play)

Velocity of a wheel at point T, O and P is

Rolling_23.gif

Watch a rolling (Translation + Rotation) wheel.  (Select combine and click Play)

Now velocity of the wheel at point T, O and P is sum of two velocities due to rotation and translation.

Rolling_24.gif

For a smoothly rolling (without slipping) object Rolling_25.gif, therefore velocity of the wheel at point T, O and P are

Rolling_26.gif

Quiz- 1
Which one of the following statements concerning a wheel undergoing rolling motion is true?

The angular acceleration of the wheel must be zero Rolling_27.gif.

The tangential velocity is the same for all points on the wheel.

The linear velocity for all points on the rim of the wheel is non-zero.

The tangential velocity is the same for all points on the rim of the wheel.

There is no slipping at the point where the wheel touches the surface on which it is rolling.

Checkpoint-1: (Rolling)

The rear wheel on a clown’s bicycle has twice the radius of the front wheel.
(a) When the bicycle is moving, is the linear speed at the very top of the rear wheel greater than, less than, or the same as that of the very top of the front wheel?
(b) Is the angular speed of the rear wheel greater than, less than, or the same as that of the front wheel

Hints :

Linear speed at the top of a smoothly rolling wheel is equal to twice the translational speed Rolling_28.gif of the Center of mass of the wheel.

Is the Rolling_29.gif of two wheels of a bicycle same or different?

Angular speed ω of a rolling wheel is related to the linear speed v of a point on its radius as

Rolling_30.gif

Kinetic Energy of Rolling

Rolling is a combination of translation and rotation.

A rolling object has two types of kinetic energies: a rotational kinetic energy due to its rotation about its center of mass and a translational kinetic energy due to translation of its center of mass.

If a wheel of mass M is rotating with an angular speed ω around an axis passing through its center, the kinetic energy due to rotation Rolling_31.gif is related to its rotation Inertia Rolling_32.gif as

Rolling_33.gif

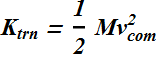
Now the wheel also has a linear velocity Rolling_34.gif, so its Kinetic energy Rolling_35.gif due to linear motion will be

Rolling_36.gif

The total Kinetic energy K of such a rolling wheel will be sum of these two kinetic energies.  

Rolling_37.gif

Friction and Rolling

How we start rolling of a bicycle?

First we start rotating (click play to start) the wheels by applying torque on the wheel.

If α is the angular acceleration of the rotating wheel of radius R, the tangential accelerations at points T, and P are given as

Rolling_39.gif

For smooth rolling, the velocity at point P should be zero.

How that is possible?

How to find out direction of friction force for any rolling object?

Checkpoint-2: (Rolling)

A circular wheel and a rectangular block were let to go down (Click start) from the top (height h) of a frictionless incline. Both the objects are of same material and have same mass m. Which one will arrive first to the ground?

Rolling down a Ramp

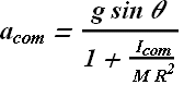
Consider a wheel of mass M and radius R rolling smoothly down a ramp at an angle θ, along x axis.

What will be the direction of friction?

Without friction, the disk will slide down, therefore direction of force of friction Rolling_42.gif will be up (select with friction)

As per Newton's second law, the net force acting on center of mass of the wheel is related to the translational acceleration Rolling_43.gif of its center of mass.

Rolling_44.gif

Do we know the value of force of friction Rolling_45.gif?

Remember Rolling_46.gif is static force of friction (It is not maximum static force of friction Rolling_47.gif). When static force of friction Rolling_48.gif, the wheel will start slipping.

How to get the value of Rolling_49.gif?

Since there is rotational motion therefore there should be net torque Rolling_50.gif acting on the body.

Three forces are acting on the body, static friction Rolling_51.gif , Rolling_52.gif and Rolling_53.gif. Torque due to Rolling_54.gif and Rolling_55.gif is zero (these forces are passing through the axis of rotation). Therefore net torque is only due to force of friction Rolling_56.gif.

Rolling_57.gif

Negative sign is the sign of position vector as R will points down ward from center of mass position.

Rolling_58.gif

Rolling_59.gif

By substituting the value of Rolling_60.gif in first equation we get

Rolling_61.gif

Rolling_62.gif

By solving above equation we get value of Rolling_63.gif.

Rolling_64.gif

The Yo-Yo

Instead of rolling down a ramp at angle θ with the horizontal, the yo-yo rolls down a string at angle θ= 90° with the horizontal.

Instead of rolling on its outer surface at radius R, the yo-yo rolls on an axle of radius Rolling_65.gif.

Instead of being slowed by frictional force Rolling_66.gif, the yo-yo is slowed by the tension force T on it from the string.

Therefore rolling acceleration Rolling_67.gif of the Yo-Yo is

Rolling_68.gif

Rolling_69.gif

Quiz- 2
A hollow cylinder of mass M and radius R rolls down an inclined plane.  A block of mass M slides down an identical inclined plane.  Complete the following statement: If both objects are released at the same time, (Friction is very much present but loss of energy due to friction is negligible)

the cylinder will reach the bottom first.

the block will reach the bottom first.

the block will reach the bottom with the greater kinetic energy.

the cylinder will reach the bottom with the greater kinetic energy.

both the block and the cylinder will reach the bottom at the same time.