General Physics (calculus based) Class Notes

Dr. Rakesh Kapoor, M.Sc., Ph.D.

Former Faculty-University of Alabama at Birmingham, Birmingham, AL 35294


Rotation

Objectives

In this chapter we will study the rotational motion of rigid bodies about a fixed axis.  
After finishing this chapter we should know following topics:

Angular displacement

Average and instantaneous angular velocity (symbol: ω).

Average and instantaneous angular acceleration (symbol: α)

Which angular quantities are vector?

Equations of motion for constant angular acceleration.

Relation between angular and linear quantities.

How to calculate the kinetic energy associated with rotation.

Rotational inertia also known as moment of inertia (symbol  I)

How to compute rotational Inertia of simple objects.

Parallel-Axis Theorem.

How to compute rotational Inertia of continuous object.

Rotation of a rigid body

What is a rigid body?

An object whose shape stays same as it moves is called a rigid body.

An ideal rigid body is non-existent.

An object in which the atomic forces are so strong that the little force needed to move it do not bend it, can be considered a rigid body.

Rotation

Following is an example of pure rotation (angular motion) of a rigid body.

We can see that every point of the rigid body moves in a circle whose center lies on a fixed axis (z-axis in this case).

This fixed axis is called the axis of rotation or the rotation axis.

Every point moves through the same angle during a particular time interval.

Rotational Variables: Angular Position

Consider a rigid body capable of rotating around z-axis.

Draw a reference plane (light pink) passing through the rotating axis and fixed in the rotating body.

View it from the top (projection on xy-plane), the reference plane looks like a reference line (dotted yellow).

Rotate the rigid body and watch the reference line.

It is perpendicular to the rotation axis and rotates with the body.

Presently it is making an angle θ with x axis.

θ is called the angular position of the rotating rigid body.

How θ is defined?

If s is the distance covered (blue arc) by the sphere and r is the radius of its circle, θ is defined as

Rotation_3.gif

In rotation, θ is always measured in radians (rad) rather than in revolutions (rev) or degrees.

In rotation, we do not reset θ to zero after each complete rotation.

θ for one complete rotation is

Rotation_4.gif

When the rigid body completes n rotations, its angular position will be

Rotation_5.gif

Rotational Variables: Angular Displacement

Rotate the rigid body from its present (initial) angular position Rotation_6.gif to a different (final) angular position Rotation_7.gif.

We can say that rigid body undergoes an angular displacement Δθ given by

Rotation_9.gif

At a given time if Δθ is the angular displacement of the rigid body, then Δθ is also the angular displacement of every particle within that body.

The angular displacement Δθ of a rotating body is either positive or negative:

Angular displacement in the counterclockwise direction is positive

Angular displacement in the clockwise direction is negative

Rotational Variables: Angular Velocity (ω)

Suppose that our rotating body is at angular position Rotation_10.gif at time Rotation_11.gif and at angular position Rotation_12.gif at time Rotation_13.gif.

We define the average angular velocity of the body in the time interval Δt from Rotation_14.gif to Rotation_15.gif.

Rotation_16.gif

The (instantaneous) angular velocity ω, with which we shall be most concerned, is the limit of the ratio, as Δt approaches zero. Thus,

Rotation_17.gif

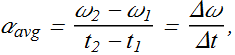
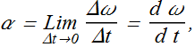
Rotational Variables: Angular Acceleration (α)

Let Rotation_18.gif and Rotation_19.gif be its angular velocities at time Rotation_20.gif and time Rotation_21.gif.

The average angular acceleration Rotation_22.gif of the rotating body in the interval from Rotation_23.gif to Rotation_24.gif is defined as

Rotation_25.gif

The (instantaneous) angular acceleration α, is defined as,

Rotation_26.gif

Problem 1(Rotational variables):

If a wheel is turning at 3.0 rad/s, How much time it takes to complete one revolution?

What is the total angle to complete one revolution?

How much time the wheel will take to complete this angle?

Problem 2(Rotational variables):

What is the angular speed of minute hand of a watch?

What is the total angle to complete one revolution in a watch?

How much time the minute hand of a watch will take to complete this angle?

Problem 3(Rotational variables):

A flywheel rotating at 12 rev/s is brought to rest in 6.0 s.
What is the magnitude of the average angular acceleration in Rotation_27.gif of the wheel during this process?

What is the initial angular velocity of the fly wheel in rad/s?

What is the final angular velocity of the fly wheel in rad/s?

Are Angular Quantities Vectors?

The angular velocity  Rotation_28.gif   is a vector and points along the axis of rotation.

It is always perpendicular to the plane of rotation.

Anticlockwise rotation is considered as positive.

Clockwise rotation is considered as negative.

The direction of angular vectors  Rotation_30.gif can also be established by using a right-hand rule, as shown:

Rotation_31.gif

Curl your right hand about the rotating record, your fingers pointing in the direction of rotation. Your extended thumb will then point in the direction of the angular velocity vector.

Angular Acceleration Rotation_32.gif

The angular acceleration Rotation_33.gif  is a vector and points along the axis of rotation.

When angular acceleration Rotation_34.gif points in the direction of angular velocity Rotation_35.gif, it increases the angular velocity.

When angular acceleration Rotation_36.gif points opposite to the direction of angular velocity Rotation_37.gif, it decreases the angular velocity.

Watch following simulation with Rotation_38.gif in opposite direction to initial Rotation_39.gif.

What about angular displacement?

Angular displacements θ (unless they are very small) is not a vector.

Vector addition is always commutative

Rotation_41.gif

Let us consider two angular displacements

Rotation_42.gif is π/2 anti-clockwise rotation along x axis

Rotation_43.gif is π/2 anti-clockwise rotation along y axis

Simulation (a) represents

Rotation_44.gif

Simulation (b) represents

Rotation_45.gif

(a) (b)

We can see that final result in (a) and (b) is not same, means

Rotation_48.gif

Angular displacements fail commutative test. Therefore angular displacement is not a vector.

Rotation with constant Angular Acceleration

Equations of Motion for Constant Linear Acceleration and for Constant Angular Acceleration

Equation No. Linear Equation Missing Variable Angular Equation
1 Rotation_49.gif Rotation_50.gif Rotation_51.gif Rotation_52.gif
2 Rotation_53.gif v ω Rotation_54.gif
3 Rotation_55.gif t t Rotation_56.gif
4 Rotation_57.gif a α Rotation_58.gif
5 Rotation_59.gif Rotation_60.gif Rotation_61.gif Rotation_62.gif

Relating the linear and Angular Variables

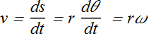
Linear Speed of rotating object

Consider an object rotating in a plane (x y-plane).

Rotation_63.gif

Distance covered s is related to angular displacement θ and radial position r.

Rotation_64.gif

Therefore linear speed v will be given as

Rotation_65.gif

v is also the magnitude of tangential velocity

Linear acceleration

There are two kind of linear accelerations, associated with a rotating object.

Radial acceleration or centripetal acceleration (green arrow) Rotation_66.gif.

Tangential acceleration (Yellow arrow) Rotation_67.gif.

Radial acceleration or centripetal acceleration Rotation_68.gif only changes the direction of the (tangential) velocity.

Tangential acceleration Rotation_69.gif only changes the magnitude of the (tangential) velocity.

Rotation_70.gif

Radial acceleration or centripetal acceleration Rotation_71.gif is related to the magnitude of tangential velocity v and radius r.

Rotation_72.gif

Tangential acceleration Rotation_73.gif is the change in magnitude of tangential velocity v with time.

Rotation_74.gif

α is the magnitude of angular acceleration.

Checkpoint-1: (Relating linear and Angular variables)

A wheel starts from rest and spins with a constant angular acceleration.
As time goes on how the magnitude and direction of the linear acceleration vector change?

Hints : Total linear Acceleration Rotation_76.gif

Rotation_77.gif

Rotation_78.gif

Rotation_79.gif

Kinetic Energy of Rotation

Observe the rotation of two identical spheres in a plane.

Both the spheres have identical mass m and are attached with a mass less rod.

Both the spheres are rotating with same angular velocity  Rotation_81.gif   .

What is the kinetic energy of particle A and B?

Rotation_82.gif

Is Rotation_83.gif?  

Total kinetic energy of this system will be

Rotation_84.gif

In terms of angular velocity

Rotation_85.gif

Term Rotation_86.gif is called rotational inertia or moment of inertia of this two spheres system about its axis of rotation.

Rotation_87.gif

Symbol of rotational inertia is I and kinetic energy of two sphere system can be written as

Rotation_88.gif

Checkpoint-2: (Kinetic energy of rotation)

Three identical balls are tied by light strings to the same rod and rotate around it, as shown below.
(a) Rank the balls according to their kinetic energy, least to greatest.
(b) Rank the balls according to their rotational inertia, least to greatest.

Rotation_89.gif

Hint : All the balls have same angular velocity.

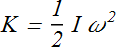
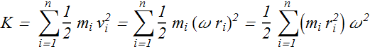
Kinetic Energy of a rotating system with n particles.

By adding kinetic energy of all the particles of a rotating system we can obtain the kinetic energy of the system as a whole.

Rotation_90.gif

Rotation_91.gif is the mass of the ith particle and Rotation_92.gif is its speed.

Since angular velocity ω of all the particles is same, therefore we can use the relation

Rotation_93.gif

Rotation_94.gif is the minimum distance of the ith particle from the axis of rotation.

The rotational inertia (or moment of inertia) I of a n particle system with respect to the axis of rotation is defined as

Rotation_95.gif

Therefore, kinetic energy K about the rotation axis is given as

Rotation_96.gif

Rotational inertia is always computed about a given rotation axis, if rotation axis change the rotational inertia of the system will change.

If position Rotation_97.gif of particle changes with respect to axis of rotation, the rotational inertia of the system will change.

Checkpoint-3: (Rotational Inertia)

If the position of sphere moves closer to axis of rotation, (a) will the rotational inertia increase, decrease or remain same?

Hint :

Calculating the Rotational Inertia

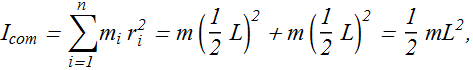
Example - 1

Let us compute rotational inertia of a two sphere system rotating about a rotation axis passing through center of mass (com).

Rotational Inertia Rotation_100.gif for such a system about an axis through the center of mass will be computed as

Rotation_101.gif

It is assumed that connecting rod of length L is of negligible mass.

Example-2

Let us compute rotational inertia of same two sphere system, when it rotates around an axis passing through center of one of the sphere?

Rotational Inertia I for such a system about an axis passing through center of one of the sphere will be computed as

Rotation_103.gif

It is assumed that connecting rod of length L is of negligible mass.

Parallel-Axis Theorem

If the rotation axis shifts with respect to the center of mass, will the rotational inertia change?

If Rotation_105.gif is the rotational inertia about an axis through its center of mass, then rotational inertia I about any other axis parallel to this axis is given as

Rotation_106.gif

Here M is total mass and h is the perpendicular distance between the given axis and the axis through the center of mass.

This equation is known as the parallel-axis theorem.

The rotational inertia of the two particle (sphere) system about an axis through the left particle can be found with the help of this theorem.

Rotation_107.gif for two particle with L distance apart is  

Rotation_108.gif

I about any other axes parallel to the axis passing through the center mass will be  

Rotation_109.gif

If h=L/2, then

Rotation_110.gif

It is the same value as we obtained for such a system in Example-2.  

Checkpoint-4: (Parallel axis theorem)

The figure shows a book-like object (one side is longer than the other) and four choices of rotation axes, all perpendicular to the face of the object.
Rank the choices according to the rotational inertia of the object about the axis, greatest first.

Rotation_111.gif

Rotational Inertia of continuous object

If a rigid body consists of a great many adjacent particles (it is continuous), above Equation would require a computer.

We can replace the sum with an integral and define the rotational inertia of the body as

Rotation_112.gif

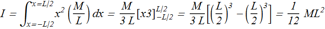
Consider a uniform rod of mass M and length L, on an x axis with the origin at the rod's center, the rotational inertia of the rod about the perpendicular rotation axis through the center  can be computed by integral method.

Rotation_113.gif

For a uniform rod, the ratio of mass to length is the same for all the elements and for the rod as a whole. Thus,

Rotation_114.gif

It can be rewritten as

Rotation_115.gif

The Rotational Inertia of the rod can be computed as

Rotation_116.gif

Problem 6: (Rotational Inertia)

What is the rotational inertia of a thin cylindrical shell of mass M, radius R, and length L about its central axis (X, X’)?

Rotation_117.gif

Hint : All the particles of the cylinder are equidistant from the rotating axis.

Solution :

Some Rotational Inertia

Rotation_118.gif

Problem-7 (Rotational Inertia):

A and B are two solid cylinders made of aluminum. Their dimensions are shown. What is the ratio of the rotational inertia of B to that of A about the common axis (X, X’)?

Rotation_119.gif

Hint: The Rotational inertia of a solid cylinder along its axis is

Rotation_120.gif

Solution :

Let us consider ρ is the density of Aluminum, mass of a cylinder will be

Rotation_121.gif

Masses of two cylinders are

Rotation_122.gif

Rotation_123.gif

Rotation_124.gif