General Physics (calculus based) Class Notes

Dr. Rakesh Kapoor, M.Sc., Ph.D.

Former Faculty-University of Alabama at Birmingham, Birmingham, AL 35294


Current and Resistance

Objectives

In this chapter we will introduce the following concepts

Electric current (symbol i).

Electric current density vector (symbol Current_Resistance_2.gif).

Drift speed (symbol Current_Resistance_3.gif).

Resistance (symbol R).

Resistivity (symbol ρ).

Ohmic and non - Ohmic conductors.

We will also cover the following topics

Ohm's Law.

Power in electric Circuit.

What is Electric Current?

Consider a loop of a conductor (copper).

The free electrons (conduction electrons)  are in random motion in this conductor.

Consider a hypothetical plane intersecting the wire at any location.

Conduction electrons pass through this imaginary plane in both directions —therefore there is no net transport of charges through the imaginary plane thus no current through the wire.

Current_Resistance_4.gif

Now make a break in the conductor and insert a battery.

Potential difference between the two points is generated which cause the conduction electrons to move from negative terminal to positive terminal.

Current_Resistance_5.gif

Now there is net flow of conduction electrons through any imaginary plane intersecting the conductor in one direction —therefore there is a net transport of charges through this plane thus there is current through the wire.

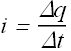
Electric current i through a conductor is defined as net charge crossing any imaginary plane intersecting (cross section of ) the conductor in unit time.

If Δq charge cross in time Δt, the current i is defined as

Current_Resistance_6.gif

Current is a scalar quantity

SI units for current are Coulombs/second = Ampere.

Current Direction

Electric current is represented by an arrow (although it is a scalar quantity).

If the flowing charge carriers are positive, the direction of current is along velocity Current_Resistance_7.gif of charges.

If the flowing charge carriers are negative the direction of current is opposite to velocity Current_Resistance_8.gif of charges.

A current arrow is drawn in the direction in which positive charge carriers would move, even if the actual charge carriers are negative and move in the opposite direction.

Current and Charge Conservation :

When a conductor is connected to a battery, and a steady current is flowing through it. The current flowing through any imaginary plane intersecting the conductor will be same.

Current_Resistance_10.gif

In the above conductor, the  number of charge carriers entering from the left sides of plane a, b and c are same as the number of charge carriers leaving on their right hand sides.

Consider a conductor splitting into two parts

Current_Resistance_11.gif

In this conductor current entering the junction point a is Current_Resistance_12.gif while leaving point a is Current_Resistance_13.gif.

Since no charges are created at point a, therefore

Current_Resistance_14.gif

Checkpoint 1

The figure here shows a portion of a circuit. What are the magnitude and direction of the current i in the lower right-hand wire?

Current_Resistance_15.gif

Hint: In steady state total current entering a point is equal to total current leaving a point.

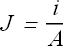
Current density Current_Resistance_16.gif

Consider a conductor of cross sectional area A.

Current is the total charges intersecting any imaginary plane in the conductor in unit time.

Turn on the current (press play) and note how many charges cross the plane "A"?

We noticed that all the charges (blue color) with in length L cross the plane "A".

If t is the time taken by all charges (q), with in length L, to cross the plane "A", the current through the conductor will be

Current_Resistance_18.gif

Let us calculate total charge q with in length "L" of the conductor.

If n is the free charge density in the conductor, then the total charges in length L of the conductor will be

Current_Resistance_19.gif

Where e is the charge on each electron, therefore current through the conductor is

Current_Resistance_20.gif

We noticed that each charge moves distance L in time t, therefore magnitude of the velocity Current_Resistance_21.gif of each charge will be

Current_Resistance_22.gif

Current_Resistance_23.gif is called drift velocity and now current through the conductor can also be written in terms of drift velocity.

Current_Resistance_24.gif

Relation between Current and Current density

Some time we are interested in just the net current through a conductor, but in certain situation we may be interested in the net flow of charge through a cross sectional area of a conductor at a particular point. This can be achieved by using current density Current_Resistance_25.gif at any point.

Current density Current_Resistance_26.gif at any point in the conductor is defined as

Current_Resistance_27.gif

Current density Current_Resistance_28.gif is a vector quantity.

Current i is the flux of current density Current_Resistance_29.gif through a cross section area Current_Resistance_30.gif of the conductor at any point.

Current_Resistance_31.gif

When current density Current_Resistance_32.gif is uniform and is parallel to the cross section area Current_Resistance_33.gif of a conductor, the current at all the points in conductor will be given as

Current_Resistance_34.gif

SI Units for current density will be Current_Resistance_35.gif

Checkpoint 2

The figure shows conduction electrons moving leftward in a wire. Are the following quantities leftward or rightward: (a) the current i, (b) the current density Current_Resistance_36.gif, (c) the electric field  Current_Resistance_37.gif in the wire?

Problem - 1 (Current density)

The magnitude J of the current density in a certain wire with a circular cross section of radius  R=3.50 mm is given by Current_Resistance_39.gif, with J  in amperes per square meter and radial distance r in meters. What is the current through the outer section bounded by  r=0.520R and r=R?

Current through any wire of cross section A is given as.

Current_Resistance_40.gif

Here Current_Resistance_41.gif is parallel to the area Current_Resistance_42.gif. If we consider a small ring of radius r and width dr, the area dA=2π r dr, The current through a ring of inner radius Current_Resistance_43.gif and outer radius Current_Resistance_44.gif can be given as

Current_Resistance_45.gif

Current_Resistance_46.gif

Value of Current can be computed by substituting the values of Current_Resistance_47.gif and Current_Resistance_48.gif.

Current_Resistance_49.gif

Current_Resistance_50.gif

Current_Resistance_51.gif

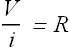
Resistance and Resistivity

Resistance:

When we apply a potential difference (voltage) V across a conductor, current i flows through the conductor.

Current_Resistance_52.gif

The conductor resistance R is defined as the ratio of potential  difference V to current i.

Current_Resistance_53.gif

SI Units for resistance are ohm with symbol Ω.

Current_Resistance_54.gif

Symbol of a resistance

Current_Resistance_55.gif

Resistor: A conductor whose function is to provide a specific resistance to a circuit is called a resistor.

Current_Resistance_56.gif

Resistivity

Unlike electrostatic case, the electric field in a conductor is non zero when a battery is connected across the conductor.

We define resistivity ρ of a material as

Current_Resistance_57.gif

In vector form

Current_Resistance_58.gif

SI Units for resistivity is Current_Resistance_59.gif

Resistance is the property of an object, Resistivity is the property of a material.

Example: We can define resistance of a particular copper wire, but resistivity is defined for material copper

Conductivity

Conductivity σ of a material is an other term which is defined as

Current_Resistance_60.gif

In vector form

Current_Resistance_61.gif

SI Units for conductivity is Current_Resistance_62.gif

Calculating Resistance from Resistivity

Consider a conductor of length L and area of cross section A, When we apply potential difference V across its two ends, current i flow through it.

Current_Resistance_63.gif

The electric field E in the conductor is given as

Current_Resistance_64.gif

The current density in the conductor is given as

Current_Resistance_65.gif

From the value of J and E we can calculate the resistivity of the material

Current_Resistance_66.gif

From above equation we obtained the relation between the resistivity ρ and resistance R.

Current_Resistance_67.gif

Checkpoint 3

The figure here shows three cylindrical copper conductors along with their face areas and lengths. Rank them according to the current through them, greatest first, when the same potential difference V is placed across their lengths.

Current_Resistance_68.gif

Hint: All are made up of copper therefore have same resistivity.

Current_Resistance_69.gif

Current through a conducting object for same applied potential difference V is

Current_Resistance_70.gif

Variation of Resistivity with temperature.

Following is the curve of resistivity of a material (say copper) as a function of temperature

Current_Resistance_71.gif

It can be seen that the variation of resistivity ρ with temperature is more or less linear.

For many practical purposes, following empirical formula is used.

Current_Resistance_72.gif

Where Current_Resistance_73.gif is the reference temperature, usually room temperature is taken as reference Current_Resistance_74.gifK. Current_Resistance_75.gif is the resistivity at the reference temperature Current_Resistance_76.gif.

For copper Current_Resistance_77.gifΩ·m.

Since we only measure temperature difference Current_Resistance_78.gif, therefore it does not matter whether we use Celsius or Kelvin scale.

α is called temperature coefficient of resistivity, it is chosen so that it gives a good agreement with experimental result.

Problem - 2 (Resistivity/Resistance)

Two conductors are made of the same material and have the same length. Conductor A is a solid wire of diameter 1.0 mm. Conductor B is a hollow tube of outside diameter 2.0 mm and inside diameter 1.0 mm. What is the resistance ratio Current_Resistance_79.gif, measured between their ends?

Since both the objects are made up of same material, their resistivity ρ will be same.

Resistance of an object is a function of resistivity ρ, cross section area A and length of the object L.

Current_Resistance_80.gif

For the first object area is Current_Resistance_81.gif

For second object (hollow cylinder) the cross section area Current_Resistance_82.gif

Current_Resistance_83.gif

Now the value of Current_Resistance_84.gifand Current_Resistance_85.gif can be computed with same length L of the objects.

Current_Resistance_86.gif

Current_Resistance_87.gif

Current_Resistance_88.gif

Current_Resistance_89.gif

The ratio Current_Resistance_90.gif can be computed

Current_Resistance_91.gif

Current_Resistance_92.gif

By substituting the values of r, Current_Resistance_93.gif and Current_Resistance_94.gif we can get the ratio

Current_Resistance_95.gif

Current_Resistance_96.gif

Ohm's Law

In reality, Ohm' s law is not a law. Due to historic reasons, it is called law.

According to Ohm' s law the current i through a conductor is proportional to the potential difference V applied across the conductor.

Current_Resistance_97.gif

Current_Resistance_98.gif

The proportionality constant is called the resistance R of the conductor.

Current_Resistance_99.gif

If we plot current i through a conductor as a function of applied potential V we call it a V-i curve and it is a linear plot.

V-i plot of a conductor following Ohm's law is shown in the figure

Current_Resistance_100.gif

Such conductors are called Ohmic conductors.

A conductor behaves as an Ohmic conductor, when the resistance of the device is independent of the magnitude and polarity of the applied potential difference.

Non - Ohmic Conductors

There are conductors which do not follow Ohm' s law.

One example is a semiconductor diode.

The V-i curve of such a conductor is not linear and is shown below.

Current_Resistance_101.gif

These conductors are known as non - Ohmic conductors.

Checkpoint 4

The following table gives the current i (in amperes) through two devices for several values of potential difference V (in volts). From these data, determine which device does not obey Ohm's law.

Device 1 Device 2
V i V i
2.00 4.50 2.00 1.50
3.00 6.75 3.00 2.20
4.00 9.00 4.00 2.80

Hint: If the device obeys Ohm's law, the ratio of Current_Resistance_102.gif should be same for each observation.

Current_Resistance_103.gif

Microscopic View of Ohm's Law

In a conductor, free electrons move randomly with an effective speed Current_Resistance_104.gif (for copper Current_Resistance_105.gif.

During this random motion these electrons undergo collisions with stationary atoms (gray doted line in the figure).

Current_Resistance_106.gif

When an electric field is applied, these electrons experience a force Current_Resistance_107.gif in the direction opposite to the direction of electric field  

Current_Resistance_108.gif

The force gives rise to acceleration Current_Resistance_109.gif to the electrons for free time between two successive collisions.

Current_Resistance_110.gif

Where Current_Resistance_111.gif is the mass of an electron. This acceleration will produce a drift velocity Current_Resistance_112.gif.

If τ is the average free time between two successive collisions, the magnitude of Current_Resistance_113.gif (for copper Current_Resistance_114.gif) can be given as

Current_Resistance_115.gif

Once we know the drift velocity of the electrons and density n of free electrons in a conductor we can calculate current density J.

Current_Resistance_116.gif

Electric field is related to the current density as

Current_Resistance_117.gif

Comparing two equations giving the value of current density, we get

Current_Resistance_118.gif

Or

Current_Resistance_119.gif

The resistivity ρ is a function of electron charge e, electron mass Current_Resistance_120.gif, free electron density n and average free time τ (mean free time).

Resistivity ρ does not depend upon the applied electric field. It is a material property. This is exactly what Ohm's law state.

Problem - 3 (Ohm's Law)

A human being can be electrocuted if a current as small as 50 mA passes near the heart. An electrician working with sweaty hands makes good contact with the two conductors he is holding. If his resistance is 2000Ω, what might the fatal voltage be? [Answer: 100 V].

If V is the potential difference across a conductor, as per ohm's law

Current_Resistance_121.gif

Current_Resistance_122.gif

Current_Resistance_123.gif

Current_Resistance_124.gif

Power in Electric Circuits

Consider a circuit with a battery maintaining potential difference V across the terminals a and b of a device.

The device could be a motor, a lamp or any resistor.

Current_Resistance_125.gif

Potential Current_Resistance_126.gif at terminal a is greater than potential Current_Resistance_127.gif at terminal b. Therefore potential difference ΔV across the terminal is negative

Current_Resistance_128.gif

Where V is the potential difference across the battery.

When a charge dq moves across these terminals in time dt, the change in potential energy dU will be

Current_Resistance_129.gif

Negative change in potential energy means it is decreasing.

Conservation of energy dictates that this energy is going to some other source.

This other source is nothing but the device connected in the circuit.

In other words we can say the energy is being used by the device.

Change in energy dE of the device will be given as

Current_Resistance_130.gif

This energy is delivered by the circuit to the device in time dt, as per definition of power the power P delivered by the battery to the device.

Current_Resistance_131.gif

The power delivered by a battery to any device is given as P=i V

If the device is a resistance R, the power delivered can be written as

Current_Resistance_132.gif

Or

Current_Resistance_133.gif

In a resistive load or device, the delivered energy gets converted into heat.

SI Units for power are Ampere * Volt = Watt, Symbol "W"

Current_Resistance_134.gif

Checkpoint 5

A potential difference V is connected across a device with resistance R, causing current i through the device. Rank the following variations according to the change in the rate at which electrical energy is converted to thermal energy due to the resistance, greatest change first: (a) V is doubled with R unchanged, (b) i is doubled with R unchanged, (c) R is doubled with V unchanged, (d) R is doubled with i unchanged.

Hint: The power delivered to a resistive load is given as.

Current_Resistance_135.gif

Problem - 4 (Electric Power)

Thermal energy is developed in a resistor at a rate of 130 W when the current is 4.00 A. What is the resistance?

Rate of developed thermal energy in a resistance is the power delivered by the battery.

Current_Resistance_136.gif

Current_Resistance_137.gif

Current_Resistance_138.gif

Current_Resistance_139.gif